Сообщение от lipton
Посмотреть сообщение
Объявление
Свернуть
Пока нет объявлений.
"Зверь"-Простая Секторная антенна 2.4 ГГц + модель
Свернуть
Это закреплённая тема.
X
X
-
А вот это хорошая идея. Так как в первоначальном варианте в ПВХ трубу на 40 влезет, а вот вариант на текстолите уже нет (даже на 50 мало, а следующая уже 110мм). Сегодня специально ходил в хозмаг - смотрел. Так ничего и не придумал - хотел из 2ух полторашек делать )). А 40х60 кабельканал должен подойти. Ширина у антенны на текстолите 50мм, высота около 35мм...
-
Если не ошибаюсь торцевые заглушки и готовые вроде есть в продаже... хотя то ли есть в нашей глухомани, то ли нет.... кабельканал бы такой хоть найти...Сообщение от SINDIKAT Посмотреть сообщениеНадеюсь понятно то что поменьше оргстекло 8 мм а нижняя часть пластмасса с крышек старых магнитофонов склеено дихлоретаном бутерброд
Комментарий
-
Реальная получается антенна, НО! При таких габаритах и соответствующей ДН - проще и эффективней сделать ФА20.Сообщение от jass66 Посмотреть сообщениепредлагаю небольшую доработку
смотри вложениеВопросы технического характера в личку не задавайте! Всё-равно отправлю на форум!
Олег
Комментарий
-
Сектор с плоским рефл.60*260
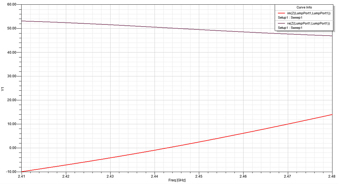
Смоделировал сектор с учётом бОльшего рефлектора и другого радома(кабельный короб 40*60).Характеристики смотрите на фото.Азимутальный угол излучения по -3дБ = 130гр. Угломестный 22градуса.Усиление стало больше 10 дБi.
Несколько изменились размеры конструкции:
Расстояние от рефл. до оси вибратора 30мм
Расстояние(по осям) между вибратором и директором 5.1 мм
Диаметр провода 1.6 мм
Длинна вибратора 86+86+1(зазор) мм
Длинна директора 55.5мм
Рефлектор 60*260 мм
Короб из АБС пластика толщиной 1 мм.Отсутствие короба меняет входной импеданс незначительно ( 47+J2 Ом).
Комментарий
-
Ну как говорится "третий сорт не брак"!:drinks: Конечно у SINDIKAT паечка покруче будет...Сообщение от SDM78 Посмотреть сообщениеДоделал полностью Зверя. Вечером планирую ставить. Делал тестовый линк. Услиление чуть хуже чем у биквадрата. На втором фото можно так было делать ?
По второму фото - вроде правильно.
Усиление и должно быть совсем чуть - чуть хуже биквада.Вопросы технического характера в личку не задавайте! Всё-равно отправлю на форум!
Олег
Комментарий


Комментарий