Вообще идея согласования имеет определенный смысл.
Я тоже подумывал как согласовать Хеликс без ртансформатора.
Если посмотреть на конструкцию сплиттера, и на его теорию, то с помощью трубок определенного диаметра можно согласлвать антенну любого волнового сопротивления с фидером 50ом.
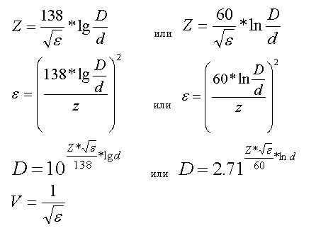
Программа AppCad is free and can be downloaded from Agilent`s website.
Я тоже подумывал как согласовать Хеликс без ртансформатора.
Если посмотреть на конструкцию сплиттера, и на его теорию, то с помощью трубок определенного диаметра можно согласлвать антенну любого волнового сопротивления с фидером 50ом.
Программа AppCad is free and can be downloaded from Agilent`s website.


Комментарий