Не забудь отписаться.
Объявление
Свернуть
Пока нет объявлений.
CISCO AP13107
Свернуть
X
-
Да, у меня время сократилось немного, как появится, попробую !
Поставил, только я 2 кондёра на + и 2 на - ставил. При выключенной точке появляется сетевое подключение. При включенной он включается на секунду и тут же вырубается. У точки моргает индикатор что сетевые ошибкиСообщение от ruzalit Посмотреть сообщениеДа странно, видимо не согласованность получается какая то по входу транса, там ведь на эти ножки транса уже подключены к нагрузке, возможно по этому потери и не согласование идет. Интересно, а если сделать как в первый раз, только не после конденсаторов подключаться, а как должно быть, на центральные входы разъемов, только нужно конденсатор самому разделительный поставить, чтобы напряжение на трансформатор сетевой катры компьютера не попало.
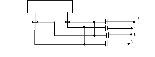
сеть комп 1---кондер---минусовое питание----общий минус точки
сеть комп 2---кондер---плюсовое питание-----центр проводник разъема
сеть комп 3---кондер---плюсовое питание-----центр проводник разъема
сеть комп 6---кондер---плюсовое питание-----общий минус точки
Вот схемка, мож я что-то не так сделал
Комментарий

Комментарий