если ставишь тонкие шайбы, то считать надо что у тебя воздушное заполнение кабеля, эпсилон 1, или если совсем точно то по картинке.
вот те формула из котрой можно извлеч эпсилон зная геометрию кабеля, это значение которое считали разработчики кабеля:
Z=(138/э)*lg(D/d)
э - это эпсилон, Z - сопр. кабеля
вот еще табл. для справок
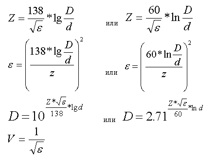
вот те формула из котрой можно извлеч эпсилон зная геометрию кабеля, это значение которое считали разработчики кабеля:
Z=(138/э)*lg(D/d)
э - это эпсилон, Z - сопр. кабеля
вот еще табл. для справок

Комментарий